一、研究背景与意义
近十年来,智能驾驶领域经历了突破性进展。凭借海量数据的积累、先进算法的革新以及计算资源的飞跃,无人驾驶技术已经突破实验室限制,正在向产业化方向稳步推进。这一转变标志着人工智能在交通领域的深度应用进入了新阶段。
尽管技术层面取得显著成果,但公众接受度仍然面临挑战。症结在于系统决策过程的"黑箱"特性——当车辆做出某项操作时,乘客往往无从知晓背后的逻辑依据。因此,构建透明化的决策解释机制显得尤为紧迫。这种机制不仅能增强用户信任感,更为监管审查和事故责任认定提供了技术支撑。
本研究将系统梳理智能驾驶的技术架构,重点阐述决策解释模型的构建方法论,并对该领域的演进方向与潜在障碍进行前瞻性分析。
尽管技术层面取得显著成果,但公众接受度仍然面临挑战。症结在于系统决策过程的"黑箱"特性——当车辆做出某项操作时,乘客往往无从知晓背后的逻辑依据。因此,构建透明化的决策解释机制显得尤为紧迫。这种机制不仅能增强用户信任感,更为监管审查和事故责任认定提供了技术支撑。
本研究将系统梳理智能驾驶的技术架构,重点阐述决策解释模型的构建方法论,并对该领域的演进方向与潜在障碍进行前瞻性分析。
二、技术架构与理论基础
智能驾驶系统可拆解为三大核心功能模块,同时需要配套完善的解释性机制来支撑系统的可信度。
2.1 ## 环境感知子系统
环境感知是车辆与外界建立信息连接的首要环节,其职责是捕获并理解周边态势。该子系统的实现依赖于以下技术组件:
多源传感设备:部署雷达探测器、光学成像设备、激光扫描仪及声波测距仪等多类传感器,从不同维度采集环境数据。各类传感器特性互补,共同构成立体化的信息获取网络。
智能数据处理:运用信号处理算法对原始传感数据进行清洗与特征挖掘,从噪声混杂的信号中分离出关键模式。这一过程涉及图像增强、目标分割等多项技术。
场景建模技术:将经过处理的数据映射为结构化的环境描述,识别出道路参与者(机动车、非机动车、行人)、交通设施(标线、信号灯、路牌)等要素,形成可供决策使用的场景表征。
多源传感设备:部署雷达探测器、光学成像设备、激光扫描仪及声波测距仪等多类传感器,从不同维度采集环境数据。各类传感器特性互补,共同构成立体化的信息获取网络。
智能数据处理:运用信号处理算法对原始传感数据进行清洗与特征挖掘,从噪声混杂的信号中分离出关键模式。这一过程涉及图像增强、目标分割等多项技术。
场景建模技术:将经过处理的数据映射为结构化的环境描述,识别出道路参与者(机动车、非机动车、行人)、交通设施(标线、信号灯、路牌)等要素,形成可供决策使用的场景表征。
2.2 智能决策子系统
决策层负责基于感知信息制定行驶策略。其工作流程包含三个递进阶段:
路径规划阶段:依据当前场景状态和导航目标,计算出多条可选的行驶方案。这一阶段需要考虑道路拓扑、交通规则、物理约束等多重因素。
方案评估阶段:建立综合评价体系,从安全性、舒适性、效率性等多个维度对候选方案进行打分排序,筛选出最优策略。评价指标的权重分配反映了系统的价值取向。
执行指令生成:将抽象的行驶策略转化为具体的控制参数,包括加速度、转向角、制动力等,为底层执行机构提供精确指令。
路径规划阶段:依据当前场景状态和导航目标,计算出多条可选的行驶方案。这一阶段需要考虑道路拓扑、交通规则、物理约束等多重因素。
方案评估阶段:建立综合评价体系,从安全性、舒适性、效率性等多个维度对候选方案进行打分排序,筛选出最优策略。评价指标的权重分配反映了系统的价值取向。
执行指令生成:将抽象的行驶策略转化为具体的控制参数,包括加速度、转向角、制动力等,为底层执行机构提供精确指令。
2.3 运动控制子系统
控制层将决策指令转化为车辆的实际动作。该层的主要任务包括:
动力学调节:通过油门和制动系统的协调控制,实现车速的精准调节,确保车辆按照规划速度行驶。
轨迹跟踪控制:操控转向系统使车辆沿着规划路径行驶,实时修正偏离误差,保证位置精度。
稳定性维护:监测车辆姿态和动力学状态,在极端工况下触发稳定控制策略,防止侧滑、翻车等危险情况。
动力学调节:通过油门和制动系统的协调控制,实现车速的精准调节,确保车辆按照规划速度行驶。
轨迹跟踪控制:操控转向系统使车辆沿着规划路径行驶,实时修正偏离误差,保证位置精度。
稳定性维护:监测车辆姿态和动力学状态,在极端工况下触发稳定控制策略,防止侧滑、翻车等危险情况。
2.4 决策透明化体系
为了打破算法的"黑箱"属性,需要建立专门的解释机制。
透明度量化指标:透明度描述了决策逻辑被理解的容易程度。在智能驾驶场景中,高透明度意味着系统能够清晰说明"为什么做出某个决策"。这是赢得用户信任和通过安全认证的前提条件。
解释技术路线:
透明度量化指标:透明度描述了决策逻辑被理解的容易程度。在智能驾驶场景中,高透明度意味着系统能够清晰说明"为什么做出某个决策"。这是赢得用户信任和通过安全认证的前提条件。
解释技术路线:
逻辑规则提取:从训练好的模型中反向推导出决策规则,将隐式知识显式化
因素贡献分析:量化每个输入变量对最终决策的影响权重,识别出关键决策因子
结构剖析方法:深入模型内部,解析神经网络层级之间的信息流转过程
因素贡献分析:量化每个输入变量对最终决策的影响权重,识别出关键决策因子
结构剖析方法:深入模型内部,解析神经网络层级之间的信息流转过程
效果评估标准:
真实性检验:解释内容是否忠实反映了实际决策过程
易懂性测试:非专业人士能否理解解释的含义
效率考量:生成解释所需的计算资源是否在可接受范围内
易懂性测试:非专业人士能否理解解释的含义
效率考量:生成解释所需的计算资源是否在可接受范围内
三、 核心算法技术实现
接下来详细剖析各模块的算法实现细节和数学原理。
3.1 感知算法实现
数据预处理技术
原始传感器数据往往包含大量干扰信息,需要通过以下方法净化:
原始传感器数据往往包含大量干扰信息,需要通过以下方法净化:
自适应滤波:采用卡尔曼滤波器或粒子滤波器,根据信号统计特性动态调整滤波参数,在去噪和保真之间取得平衡
模式识别:利用边缘算子(如Sobel、Canny)突出图像中的结构信息,运用形态学变换(霍夫变换)检测几何图形
多源数据融合:设计融合算法整合激光点云、毫米波回波、视觉图像,发挥不同传感器的互补优势
模式识别:利用边缘算子(如Sobel、Canny)突出图像中的结构信息,运用形态学变换(霍夫变换)检测几何图形
多源数据融合:设计融合算法整合激光点云、毫米波回波、视觉图像,发挥不同传感器的互补优势
3.2 数学模型公式:
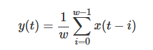
均值滤波:

中值滤波:

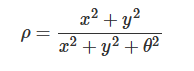
霍夫变换:


中值滤波:

霍夫变换:

3.3 决策
3.3.1 规划
规划是根据环境模型和目标,生成可行的行动计划的过程。常见的规划方法包括:
A算法:通过应用A算法,根据环境模型生成可行轨迹。
动态规划:通过应用动态规划,根据环境模型生成可行轨迹。
动态规划:通过应用动态规划,根据环境模型生成可行轨迹。
3.3.2 优化
优化是根据一组评价标准,选择最佳的行动计划的过程。常见的优化方法包括:
Pareto优化:通过应用Pareto优化,根据多个目标函数选择最佳的行动计划。
穷举搜索:通过应用穷举搜索,根据一组评价标准选择最佳的行动计划。
穷举搜索:通过应用穷举搜索,根据一组评价标准选择最佳的行动计划。
3.3.3 控制
控制是根据决策结果,实现车辆状态和行动的过程。常见的控制方法包括:
PID控制:通过应用PID控制,实现车辆的动力、轨迹和稳定控制。
LQR控制:通过应用LQR控制,实现车辆的动力、轨迹和稳定控制。
LQR控制:通过应用LQR控制,实现车辆的动力、轨迹和稳定控制。
3.4 控制
3.4.1 动力控制
动力控制是通过调整车辆的加速、减速和刹车来实现目标速度和力度的过程。常见的动力控制方法包括:
速度控制:通过应用速度控制算法,如模糊控制和基于状态的控制,实现车辆的目标速度跟踪。
力度控制:通过应用力度控制算法,如PID控制和LQR控制,实现车辆的目标力度跟踪。
力度控制:通过应用力度控制算法,如PID控制和LQR控制,实现车辆的目标力度跟踪。
3.4.2 轨迹控制
轨迹控制是通过调整车辆的方向和速度来实现预定轨迹的过程。常见的轨迹控制方法包括:
路径跟踪:通过应用路径跟踪算法,如基于状态的控制和基于特征的控制,实现车辆的预定轨迹跟踪。
车辆稳定控制:通过应用车辆稳定控制算法,如PID控制和LQR控制,实现车辆的稳定运行。
车辆稳定控制:通过应用车辆稳定控制算法,如PID控制和LQR控制,实现车辆的稳定运行。
3.4.3 稳定控制
稳定控制是确保车辆在不同环境下的稳定运行的过程。常见的稳定控制方法包括:
车身稳定控制:通过应用车身稳定控制算法,如PID控制和LQR控制,实现车辆的稳定运行。
电子稳定程度控制:通过应用电子稳定程度控制算法,如PID控制和LQR控制,实现车辆的稳定运行。
电子稳定程度控制:通过应用电子稳定程度控制算法,如PID控制和LQR控制,实现车辆的稳定运行。
